多巴胺(DA)作為一種典型的神經遞質,被認為在成癮和一些神經退行性疾病中起重要作用。準確、快速地檢測DA是非常有價值的。本研究構建了基于三維片狀氧化鎳/氧化鈷@多孔碳納米片/碳納米管/電化學還原氧化石墨烯復合材料改性玻碳電極(NiO/CoO@PCNs/CNTs/erGO/GCE)的傳感器。在氮氣保護下,通過Ni/Co-MOF直接熱解得到片狀NiO/CoO@PCNs/CNTs,由于協同催化作用和多孔片狀結構,片狀NiO/CoO@PCNs/CNTs具有優異的電化學性能。對于DA的檢測,NiO/CoO@PCNs/CNTs/erGO/GCE具有較寬的線性范圍(0.10 μM ~ 22.0 μM), DA的檢出限(LOD)為0.045 μM (S/N = 3)。此外,通過密度泛函計算分析了DA的電化學行為,揭示了DA的反應位點和反應機理。該傳感器對實際生物樣品中DA的測定結果令人滿意。

方案1. NiO/CoO@PCNs/CNTs/erGO/GCE制造流程示意圖。

圖1. (A)NiO/CoO@PCNs/CNTs的TEM圖像,(B-G)NiO/CoO@PCNs/CNTs的EDS圖譜,(H)NiO/CoO@PCNs/CNTs的EDS光譜。

圖2. (A)GCE、erGO/GCE、NiO/CoO@PCNs/CNTs/GCE和NiO/CoO@PCNs/CNTs/erGO/GCE的EIS光譜。配套電解液:0.1 M KCl含1mm ,頻率范圍:0.1 Hz ~ 100khz。(B)在0.1 M PBS (pH = 5.5)中, GCE (a)、NiO/CoO@PCNs/CNTs/GCE (b)、NiO/CoO@PCNs/CNTs/GCE (c)和NiO/CoO@PCNs/CNTs/erGO/GCE (d) 的10 μM DA的DPVs。(C)不同電極的氧化還原峰值電流。

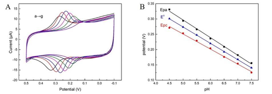
圖3. (A) NiO/CoO@PCNs/CNTs/erGO/GCE在含5 μM DA的0.1 M PBS中不同pH值(a ~ g: 4.5、5.0、5.5、6.0、6.5、7.0、7.5)下的CVs。(B)氧化峰電位(Epa)、式電位(E
θ)、還原峰電位(Epc)隨pH的變化關系。

圖4. (A) NiO/CoO@PCNs/CNTs/erGO/GCE在含5 μM DA的0.1 M PBS (pH 5.5)中不同掃描速率(從a到h: 20、40、60、80、120、160、200、250、300 mV s
-1)下的CVs。(B)氧化還原峰值電流與掃描速率(v)的關系。

圖5. (A)在0.1 M PBS (pH 5.5)中,DA范圍為a ~ i(0.1、0.5、0.7、1.0、3.0、5.0、7.0、10.0、15.0、20.0、22.0 μmol/L), NiO/CoO@PCNs/CNTs/erGO/GCE的DPVs;(B)電流響應與DA濃度線性校準的DPVs。

圖6. (A) 5個電極在相同條件下的重復性研究。(B)相同條件下六種平行測定方法的穩定性研究。(C)一些可能的干擾物質對PBS溶液中5μm DA測定的影響。
相關研究成果由湘潭大學化學學院環境友好化學與應用教育部重點實驗室、懷化學院化學與材料工程學院Li Zhang等人于2023年發表在Colloids and Surfaces A: Physicochemical and Engineering Aspects (https://doi.org/10.1016/j.colsurfa.2023.131284)上。原文:A novel dopamine electrochemical sensor based on 3D flake nickel oxide/ cobalt oxide @ porous carbon nanosheets/carbon nanotubes/ electrochemical reduced of graphene oxide composites modified glassy carbon electrode。
轉自《石墨烯研究》公眾號