二維(2D)材料石墨烯及其衍生的納米結構的合成開辟了化學、物理和材料科學交叉的跨學科領域。在這個領域,來自分子或擴展固態系統的直覺是否決定了這些材料的物理性質,這是一個懸而未決的問題。在這項工作中,本研究使用從頭算模擬技術研究了電場中二維扶手椅石墨烯納米帶上原子的電遷移力。研究結果表明,力與吸附質-表面鍵中的誘導電荷有關,而不僅僅與誘導的原子電荷有關,并且左右有效鍵序可以用來預測力的方向。特別關注3d過渡金屬原子,本研究展示了苯上金屬原子的簡單模型如何解釋無機化學圖片中的力。這項研究表明,電場中二維表面上的原子遷移是由一幅不同于電場中帶電粒子常用靜電描述的圖片決定的,因為潛在的鍵合和分子軌道結構與電遷移力的定義相關。因此,包括原子配體場的擴展模型可以更好地理解非平衡條件下吸附質在表面上的擴散。

圖1. 在沿表面方向(“橫向”)和電流I施加的電場E中,位于2D碳納米結構頂部的單個原子。原子經歷電遷移力(紅色箭頭),該電遷移力由電場引起的貢獻F
dir和電流中電子散射引起的貢獻F
wind組成。插圖顯示了吸附原子和苯環,代表了擴展結構的簡化模型。

圖2. 在橫向電場中/在經歷電遷移力的有限偏壓下吸附在7-aGNR上的單原子。(a) 具有半無限大aGNR電極的7-aGNR上的Co原子。在左電極和右電極之間施加偏置電壓,從而產生電場和電流。(b) 橫向電場E
x.中有限7-aGNR上的Co原子。(c)單原子(Co、Al和Ag)在7-aGNR:Co和Al更喜歡中空位置,而Ag更喜歡頂部位置。(d) 頂部:來自(a)所示傳輸設置的Co原子上的電流和場誘導力F
x(黑線),以及來自(b)所示設置的純場誘導力(紅線)。底部:(a)在電場上流過系統的電流。(e) 電場中7-aGNR上Co、Al和Ag原子上的力。(f) 當E
x=0.15V/Å時,Ag和Co上的場誘導電荷密度。(g) 頂部:通過Hirshfeld(實線)和Mulliken(虛線)分析獲得的,在GNR上吸附時,由于Co、Al和Ag上感應的凈電荷Q(0)而產生的靜電力Fel(0)。底部:電場E
x上的場感應電荷產生的靜電力ΔFel(E)ΔQ(E)。

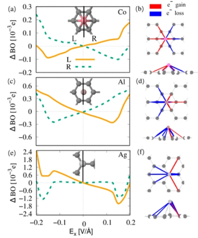
圖3. 分析橫向電場E
x.中有限7-aGNR上Co、Al和Ag的鍵序變化(ΔBO)以及左右鍵中的電荷再分配。(a)電場E
x.上7-aGNR上Co的左右場相關ΔBO。插圖顯示了左右鍵的劃分。(b) Co在E
x=0.15eV/Å時誘導鍵電荷的可視化(俯視圖和側視圖),其中藍色表示電子耗盡和紅色積聚。(c,d)對中空位點上的Al進行相同分析,對頂部位點上的Ag進行相同分析。ΔBO描述的原子和表面之間鍵中的電荷再分配預測了場誘導力在原子上的方向。

圖4. 電場E
x.中Co和Sc在苯上的電遷移力、成鍵和反鍵電子以及能態的比較(“C
6H
6+M”模型)。(b) 場誘導的成鍵和反成鍵電子,n
B和n
A,在吸附原子的左側和右側。而對于C
6H
6+Sc,只有鍵合軌道被占據(n
A=0),C
6H
6+Co表現出來自反鍵軌道2e
1的電子密度。(c) 對于Co(頂部)和Sc(底部),C
6H
6+M的態密度(DOS)和吸附原子和C
6H
6之間的晶體軌道重疊布居(COOP)。在COOP中,顯示了C
6H
6+M態的能量位置。COOP表示態的性質(正態=成鍵,負態=反鍵)。(d) C
6H
6+M分子軌道,根據它們的對稱性來表示。

圖5. 電遷移力和能態之間的相關性接近E
F=0eV。(a)場E
x=0.15V/Å時吸附原子上的力F
x(灰色條),以及苯上原子(C
6H
6+M)和7-aGNR上原子(GNR+M)的2e
1(x)(藍色)、1e
2(x)和1e
2(xy)(藍色虛線)的能態位置。(c) 7-aGNR上Co的分子軌道2e
1(x)、1e
2(x)和1e
2(xy)。早期TM上的力與1e
2態的種群有關,而晚期TM由2e
1(x)態主導,C
6H
6+M和GNR+M都更接近E
F。

圖6. 橫向電場E
x中7-aGNR上的Co原子上的電遷移力,取決于摻雜水平和原子位置。(a) 在n-、p-和未摻雜的7-aGNR上的Co原子上的電場E
x上的力F
x。(b) 未摻雜7-aGNR的頂部和中空部位上的Co上的力F
x與電場E
x的比較。
相關研究成果由哥本哈根大學Gemma C. Solomon等人2023年發表在JACS Au (鏈接: https://doi.org/10.1021/jacsau.3c00622)上。原文:Electromigration Forces on Atoms on Graphene Nanoribbons: The Role of Adsorbate–Surface Bonding
轉自《石墨烯研究》公眾號
掃碼了解上周最受歡迎的文章