文章提出了一種新的太赫茲等離子體傳感概念,該概念利用超表面耦合器在石墨烯帶上激發欺騙表面等離子體激元(SSPs)模式。介電超表面單元電池由石英襯底上具有不同半徑的兩個圓柱形硅棒組成。垂直入射的太赫茲波被超表面偏轉,導致襯底內的橫波矢量與石墨烯帶支撐的SSPs波矢量相匹配。這使得在石墨烯帶表面有效激發SSPs模式,導致吸收共振在0.420-0.430 THz范圍內,高質量(Q)因子為152。將該裝置應用于折射率傳感,研究結果表明,吸收光譜中的高Q共振隨目標物質折射率的變化而發生改變,靈敏度為110 GHz/RIU。本研究設計的結構在痕量物質吸收光譜檢測中具有重要的應用潛力。

圖1. (a)基于超表面耦合激發石墨烯條帶上SSP模式的結構示意圖;(b)超表面耦合器的電池結構;(c)石墨烯帶的陣列結構;(d)超表面耦合器實現偏轉后的電場強度分布。

圖2. (a)不同W
g、周期P
g=65μm的石墨烯條帶陣列上SSPs的色散關系。(b)某些圖表的放大結果。

圖3. (a)化學勢
μc=0.15eV時,石墨烯帶的吸收量與寬度W
g的關系;(b)吸收量與化學勢的關系。

圖4. 不同石墨烯條帶寬度在 SSP 諧振頻率下的電場分布。(a)W
g = 25 μm;(b)W
g = 30 μm;(c)W
g = 35 μm;(d)W
g = 40 μm。

圖5. 石墨烯條帶寬度 W
g 對不同折射率值
nd = 1.00–1.05 的吸收光譜的影響。(a)W
g = 25 μm;(b)W
g = 30 μm;(c)W
g = 35 μm;(d)W
g = 40 μm。(e)諧振頻率偏移和擬合靈敏度。

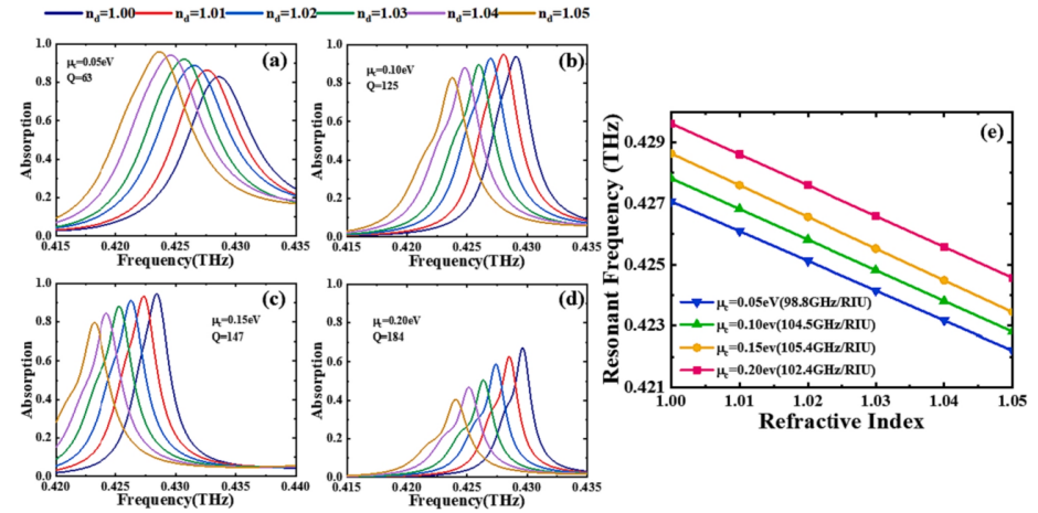
圖6. 石墨烯條帶化學勢對不同折射率值
nd = 1.00–1.05 的吸收光譜的影響。(a)
μc = 0.05 eV;(b)
μc = 0.1 eV;(c)
μc = 0.15 eV;(d)
μc = 0.2 eV。(e)諧振頻率偏移和擬合靈敏度。
相關研究成果由中國計量大學太赫茲技術與應用研究所、中國計量大學信息工程學院電磁波信息技術與計量檢測實驗室Dexian Yan等人于2024年發表在Results in Physics (https://doi.org/10.1016/j.rinp.2024.107539 )上。原文:Refractive index sensing of spoof surface plasmon polaritons excited on graphene strips based on cylindrical dielectric metasurface coupling
轉自《石墨烯研究》公眾號