過度肥胖是一種全球性的流行病,因此,減少脂肪吸收的新研究引起了人們的興趣。文章在模擬十二指腸條件下評估了氧化石墨烯(GO)對脂肪酶催化脂肪(三丁酸甘油酯、葵花籽油和橄欖油)水解的影響。結果表明,氧化石墨烯在消化混合物中的存在可以抑制脂肪酶活性高達初始反應速率的90%,并且這種抑制作用甚至持續到消化2小時。抑制機制似乎是非競爭性的,可能與膽鹽的作用相反,盡管氧化石墨烯和酶之間的直接相互作用不能被丟棄。在消化脂肪中也發現了這種抑制作用,這表明氧化石墨烯可能是脂肪水解的強抑制劑。

圖1. 在膽鹽(NaTC)存在(圓圈)或不存在(三角形)的情況下,不同濃度氧化石墨烯對脂肪酶初始反應速率的抑制百分比。虛線只是為了說明趨勢。誤差條表示標準差。

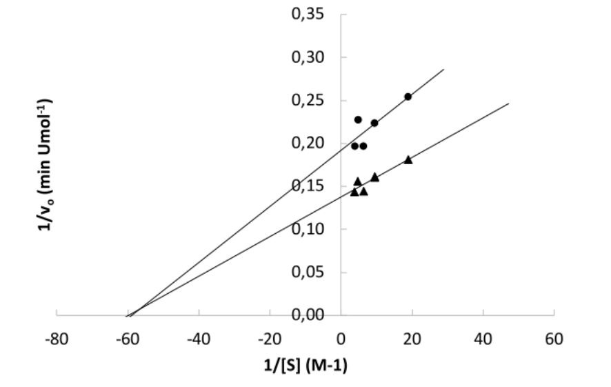
圖2. 不存在氧化石墨烯(三角形)和存在25 ppm氧化石墨烯(圓圈)時的Lineweaver-Burk圖。直線對應于線性擬合。

圖3. 在膽鹽(NaTC)存在(圓圈)或不存在(三角形)的情況下,不同濃度氧化石墨烯在2小時時對脂肪酶的抑制百分比。虛線只是為了說明趨勢。誤差條表示標準差。
相關研究成果由西班牙瓦倫西亞大學材料研究所Alberto Fernandez-Núnez等人于2024年發表在Heliyon (https://doi.org/10.1016/j.heliyon.2024.e28624 )上。原文:Graphene oxide as inhibitor on the hydrolysis of fats under simulated in vitro duodenal conditions
轉自《石墨烯研究》公眾號