陰離子交換膜水電解槽(AEMWE)有望結合液體堿性電池和PEM技術的優勢,提供更高純度的氫氣生產,提高效率和動態性能。然而,AEM系統面臨著顯著的挑戰,特別是在提高離子導電性和膜的穩定性方面。特別是,AEMs的堿性化學穩定性是最大的問題之一,因為它可以使用高堿性溶液作為電解質。為了克服這些問題,在這項工作中,選擇的策略是在膜的聚合物基質中簡單地添加無機填料。使用改進的Hummers方法合成了不同數量的氧化石墨烯(GO),并將其摻入基于Fumion的膜中。所得到的AEMs表現出更好的吸水性、化學穩定性、熱穩定性,并且在添加適量填料的情況下,電導率也有所提高。特別是,所有復合膜在80℃、6 M KOH中浸泡170 h后,失重和電化學損失都有所減少。在計時電流測試中,含有3%氧化石墨烯(wt%)的Fumion-GO AEM的電導率有所提高,在2 V和60℃下的電流密度高于1 A /cm
2。

圖1. 合成的GO在不同倍率(a) 200 K X和(b) 100 K X下的SEM顯微圖和EDX分析表。

圖2. (a)氧化石墨烯的ATR-FTIR譜。(b)氧化石墨烯的拉曼光譜。

圖3. Fuion Recast(左)和7%氧化石墨烯(右)制備膜的圖像。

圖4. 原始Fumion Recast與復合膜的掃描電鏡顯微照片。

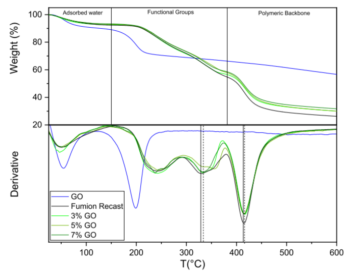
圖5. TGA和氧化石墨烯與所研究膜的曲線的導數。下圖中的黑線對應于Fumion Recast模導數峰(實線)和復合膜導數峰(虛線)。加熱速率為10℃/min。

圖6. 在30-60℃溫度范圍內通過平面電導率的比較。

圖7. 復合膜的極化曲線與Fumion Recast的極化曲線比較,所有樣品在60℃下掃描速率為5 mV/s時使用線性掃描伏安法。

圖8. 將復合膜與原始的Fumion Recast進行計時電流測試,并列出每個膜的電流密度下降表。
相關研究成果由羅馬大學化學系Nicholas Carboni 等人于2024年發表在Electrochimica Acta (https://doi.org/10.1016/j.electacta.2024.144090 )上。原文:Composite anion exchange membranes based on graphene oxide for water electrolyzer applications
轉自《石墨烯研究》公眾號