將電池和超級電容器的優點結合到單個器件中是一項重大的科學和技術挑戰。從設計的角度來看,電極材料在器件中起著關鍵作用,根本難點在于將高密度的活性位點整合到具有出色電荷轉移動力學的穩定材料中。在這里,提出在適當親電試劑(K
+)存在下,通過氫氧根離子對鹵素官能團的親核取代以及羥基官能團原位氧化的共同作用,合成了一種幾乎全氧官能化的二維導電過渡金屬碳化物(Ti
3C
2O
y)。Ti
3C
2O
y中超高密度的Ti-O/Ti=O活性位點使所制備的電極在酸性電解液中展現了極高的質量比電容和體積比電容(0.85V 電位窗口下分別為1,082 F g
−1和3,182 F cm
−3,接近許多過渡金屬氧化物的理論電容量),將其與氫化普魯士藍(正極)構成的器件能量密度可與鉛酸電池相當,并可在-70至60°C寬溫區內實現超長壽命循環及快速充放電。此外,Ti
3C
2O
y的高功函數以及費米能級附近的高電子態密度,使得所合成Ti
3C
2O
y兼具優異的抗氧化性及高電導率。這些有希望的結果為高能量、高功率存儲器件以及電磁屏蔽以及電子和光電器件的發展提供了途徑。

Fig 1. a,b) 傳統顆粒狀過渡金屬氧化物與具有類過渡金屬氧化物表面二維材料的電容存儲示意圖。c) 親核取代構建全氧表面MXene (Ti
3C
2O
y)示意圖。d,e) Ti
3C
2O
y的理論容量、實驗容量與其它材料對比。
.png)
Fig 2. 原始 Ti
3C
2T
x 和在 280 °C 下水熱處理 20 小時 (H-280) 的樣品的表征。a) 原始 Ti
3C
2T
x 薄膜和 H-280 薄膜的 XPS 光譜。b) 原始 Ti
3C
2T
x 薄膜和 H-280 薄膜的高分辨率 O 1s 和 Ti 2p 光譜。c,d) 原始 Ti
3C
2T
x 薄膜和 H-280 薄膜的 EDS 測試 (c) 元素和 XPS 測試 (d) 中含氧官能團的百分比分布。e,f) 分層原始 Ti
3C
2T
x (e) 和 H-280 (f) 薄膜的 HAADF STEM 圖像。g,h) 沿 [0001] 方向觀察的單層原始 Ti
3C
2T
x (g) 和 H-280 (h) 薄膜的 HAADF STEM 圖像。i-l) 通過 FIB 解剖的原始 Ti
3C
2T
x (i, k) 和 H-280 (j, l) 真空過濾薄膜的橫截面 HAADF STEM 圖像。它們的質量載荷為 3 mg cm
−2。m) Ti
3AlC
2 粉末、Ti
3C
2T
x 粉末(無超聲處理)以及原始 Ti
3C
2T
x 和 H-280 薄膜的 XRD 圖譜。(g)和(h)的底部圖像分別是沿[0001]方向觀察的Ti
3C
2O
2和Ti
3C
2O的結構模型。(k) 和 (l) 的底部圖像分別是 Ti
3C
2O
2 和 Ti
3C
2O 的截面結構模型。 由于 Ti
3C
2O
2、Ti
3C
2(OH)
2、Ti
3C
2F
2 和 Ti
3C
2Cl
2 占據了原始 Ti
3C
2T
x 的 ≈85%,并且它們的結構沿 [0001] 和橫截面方向非常相似(圖
S9,支持信息),因此 Ti
3C
2O
2 被用作原始的 Ti
3C
2T
x.雖然 Ti
3C
2O 是 H-280 的主要成分,但在本文中,Ti
3C
2O 用作 H-280 的近似模型。
.png)
Fig 3. 原始 Ti
3C
2T
x 和 Ti
3C
2O
y (H-280) 的電導率和化學穩定性。a) 質量負荷為 3 mg cm
-2 的原始 Ti
3C
2T
x 薄膜和 H-280 薄膜的光學圖像和電導率。b) 具有不同末端基團的 Ti
3C
2 單層的態密度 (DOS)。c,d) 從 Ti
3C
2T
x 和 H-280 膠體溶液中真空過濾的薄膜在 60 °C 空氣中暴露 2 天后的 XPS 光譜。對于來自原始 Ti
3C
2T
x 膠體溶液的薄膜,在 60 °C 的空氣中暴露 2 天后,檢測到強 TiO
2 峰 (c)。而對于 H-280 的薄膜,只能檢測到一個弱的 TiO
2 峰 (d)。e,f,從原始 Ti
3C
2T
x 和 H-280 膠體溶液中真空過濾并在室溫下在空氣中暴露 3 個月的薄膜的 XPS 光譜。在室溫下暴露在空氣中 3 個月后,從原始 Ti
3C
2T
x 膠體溶液 (e) 真空過濾的薄膜中檢測到明顯的氧化。然而,從 H-280 膠體溶液 (f) 真空過濾的薄膜幾乎沒有變化。
.png)
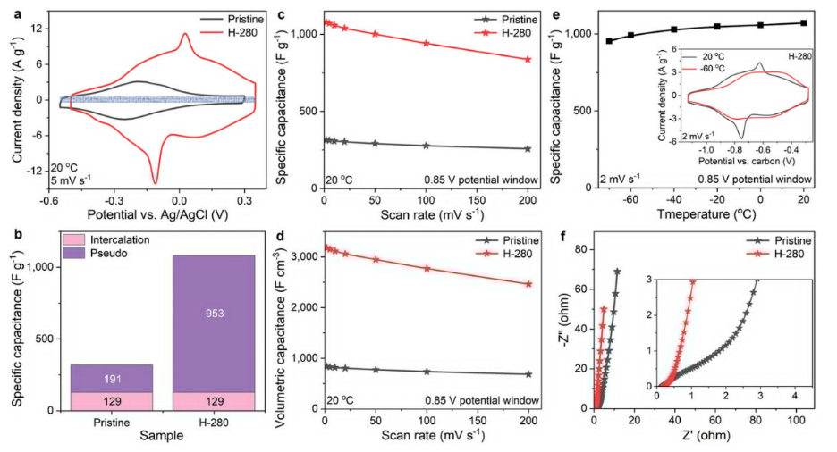
Fig 4. 原始 Ti
3C
2T
x 和 Ti
3C
2O
y (H-280) 的電化學性能。a) 原始 Ti
3C、
2T
x 和 H-280 薄膜電極(質量負載為 1 mg cm
-2)的循環伏安圖,掃描速率為 5 mV s
-1,插層電容區域由陰影矩形區域表示。b) 原始 Ti
3C
、2T
x 和 H-280 薄膜電極的比電容,根據循環伏安圖以 5 mV s
-1 的掃描速率計算 (a)。插層分量的比電容近似為 129 F g
−1。c,d) 根據不同掃描速率的循環伏安圖計算的原始 Ti
3C
2T
x 和 H-280 薄膜電極的重量 (c) 和體積 (d) 倍率性能。e) 在不同溫度下以 2 mV s
-1 的掃描速率測得的 H-280 薄膜電極的比電容。插圖顯示了在 20 °C 和 -60 °C 下以 2 mV s
-1 的掃描速率測量的 H-280 薄膜電極的循環伏安圖。f) 在 0.2 V 下, 20 °C ,Ti
3C
2T
x 和 H-280 薄膜電極收集的電化學阻抗譜數據。 插圖顯示高頻范圍。為了方便比較,這兩個薄膜電極的插層電容是統一的,這不會影響 H-280 薄膜電極的偽電容急劇上升的事實。

Fig 5. H-280 || H-TBA 質子電池的電化學性能。a) 使用 H-280 薄膜作為陽極的超級電容器和質子電池的示意圖。對于超級電容器配置,電解液的體積應為 H-280 薄膜電極的 5.5 倍。相比之下,大多數陽離子來自對電極,在 H-280||H-TBA 混合動力電池。b) 全電池制造:H-280 (0.3 mg cm
-2) 和 H-TBA (0.7 mg cm
-2) 的三電極循環伏安圖,掃描速率為 5 mV s
-1。c) H-280||H-TBA 質子電池在不同掃描速率下。d) H-280||H-TBA 質子電池在 5 A g
-1的恒流循環期間隨溫度的變化。插圖描繪了不同溫度下的恒電流充放電曲線。e) 本工作中的質子電池(器件級)與鉛酸電池、偽電容器和有機電解質中的 EDLC 的綜合比較。
相關研究工作由揚州大學Jianning Ding、Jiang Xu,悉尼科技大學Guoxiu Wang,賓夕法尼亞州立大學Shanhai Ge,江蘇大學等人于2024年聯合發表在《Advanced Functional Materials》期刊上,Nucleophilic Substitution Enables MXene Maximum Capacitance and Improved Stability,原文鏈接:
https://doi.org/10.1002/adfm.202408892
轉自《石墨烯研究》公眾號