淡水中重金屬的存在是人類面臨的一個嚴重問題。對污染水中重金屬進行高效去除的補救措施至關重要。然而,現有的研究往往忽視了世界衛生組織(WHO)標準的污水質量。此外,報告的條件要么對實際污染水平不現實,要么不適合大規模應用。在這里,我們報道了用N, N'-二異丙基碳二亞胺(DIC)作為偶聯劑,通過加入pH響應基團(即賴氨酸)來制備兩性離子氧化石墨烯(GO)。然后將改性的氧化石墨烯-賴氨酸涂在市售的0.45微米尼龍膜上,并測試其選擇性去除合成水和人體血漿樣品中的有毒重金屬,同時保留必需金屬離子。因此,鉛是鎳、砷、鎘和汞(即保留50%至80%)中保留最多的有毒金屬(即保留99.99%,出水質量符合世衛組織標準)。這些復合膜還表現出優異的抗污染性能和抑制細菌在膜表面的粘附,同時在長時間和臨界跨膜壓力條件下保持穩定的性能。這項研究標志著環境技術的重大進步,為選擇性去除重金屬污染物提供了有效的解決方案,特別是鉛解毒應用。

流程圖1. 利用叔丁基 (OtBu) 基團通過酯化作用保護 Fmoc-Lys(BOC)–OH 的游離羧酸,然后從 ε-胺中去除 BOC 基團。

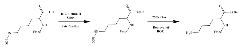
流程圖 2. 受保護的賴氨酸的 ε-胺與 GO(由 DIC 活化)進行酰胺偶聯,然后去除 Fmoc 和 OtBu 基團以形成 GO-Lys。

圖1. a:GO(紅線)和 GO-Lys(藍線)的 FTIR 光譜。b:使用完整 XPS 光譜對 GO 和 GO-Lys 進行全面表征。c-e:Cs1、Ns1 和 Os1 處的解卷積峰揭示了 GO-Lys 中氧、碳和氮的精確結合能,表明存在潛在的鍵合相互作用。f:GO 和 GO-Lys 的表面電荷(以 zeta 電位表示)與 pH S 的關系。

圖2. a-c NY、NYGO 和 NGO-Lys 膜的頂視圖。d-f 相同膜以相似順序的橫截面圖像。g-i E. 糞腸球菌以不同的方式粘附在原始 NY 膜的表面。

圖3. a、b、c分別為NY、NYGO和NYGO- lys膜在酸性、中性和基礎條件下的接觸角(接觸角越小越親水)。d:在0.1 bar條件下運行6天期間NYGO和NYGO- Lys的穩態通量曲線;e:隨著TPM的增加,NYGO和NYGO- Lys的通量曲線。f:以NY、NYGO、NYGO- Lys污染后和正沖洗后的MQW通量回收率(FRR)相對于污染前的初始通量為單位。

圖4. a:與MCLs相比,飼料中的金屬污染物以及NYGO和NYGO- Lys膜的滲透物的ICPMS數據。(b-f):表示NYGO和NYGO- Lys復合膜滲透液中Pb、Ni、Hg、Cd和As的殘留濃度隨進料濃度的變化趨勢,ERL位于趨勢線與MCLs的交點。(g和h) pH影響NYGO和NYGO- Lys復合膜在恒定進料濃度下保留金屬的能力,即所有進料濃度均為1ppm。

圖5. NYGO-Lys 復合膜的X 截面 SEM 圖像 (A–C) ,其負載質量分別為 0.3、0.42 和 0.71 mg/cm
2,平均厚度分別為 146.5、202 和 263 nm。
相關研究成果由曼徹斯特城市大學科學與工程學院Syed Sibt-e-Hassan等人于2024年發表在Carbon (https://doi.org/10.1016/j.carbon.2024.118974 )上。原文:Lysine-functionalized graphene oxide on cost-effective microporous support: A hydrophilic and fouling resistant membrane for safe lead filtration
轉自《石墨烯研究》公眾號