費托合成(FTS)廢水中的有機污染物低碳醇和酸是費托合成(FTS)工業化的限制因素。在這項工作中,研究了石墨烯上醇酸吸附和表面物質之間的結構容量關系,揭示了它們之間復雜的相互作用。以片狀石墨(G)為原料,采用改進Hummers法制備了氧化石墨烯(GO)和還原氧化石墨烯(rGO),并通過SEM、XRD、XPS、FT-IR和Raman表征了樣品的理化性質。通過理論和實驗方法測定了醇酸對G、GO和rGO的吸附行為和吸附量。結果表明,COOH、C=O和C-O在石墨烯上的存在占據了吸附位點,增加了水與石墨烯的相互作用,不利于醇酸的吸附。醇和酸的平衡吸附量隨碳數的增加而增加。通過模型擬合驗證了石墨烯上的單層吸附。由于氧的減少,還原氧化石墨烯具有最高的FTS模擬廢水吸附量(110 mg/g),。這些新發現為醇酸廢水的處理,以及高性能碳基吸附材料的設計和開發提供了基礎。

圖1. GO和rGO制備以及吸附和分析的流程圖。

圖2. (a) G,(b) GO,(c)rGO的SEM圖譜;(d)N
2吸附-解吸等溫線;孔徑分布;(f) XRD圖譜。

圖3. (a) G,(b) GO,(c) rGO氣流下的TG/DTG曲線。

圖4. (a)FT-IR光譜;拉曼光譜。
.png)
圖5. (a) G,(b) GO,(c) rGO 的C1s XPS光譜。

圖6. G (a)、GO (b)和rGO (c)的水接觸角。

圖7. G,GO和rGO的C1-5醇C
0-q
e曲線。

圖8.G、GO和rGO的 C2-4酸C
0-q
e曲線。

圖9. 石墨烯上的醇酸吸附構型(黑色、白色和紅色球分別代表C、H和O原子)。

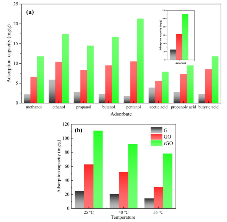
圖10. FTS模擬廢水在石墨烯上的吸附量(a)和吸附量的溫度效應(b)。
相關研究成果由天津科技大學化工與材料學院、天津市鹵水化工與資源生態化利用重點實驗室;南開大學化學學院、藥物化學生物學全國重點實驗室、功能高分子材料教育部重點實驗室Xiao Liu等人于2024年發表在ScienceDirect (https://doi.org/10.1016/j.jes.2024.02.031)上。原文:Effect of surface species on the alcohol-acid adsorption from FTS wastewater on graphene: A structure-capacity study
轉自《石墨烯研究》公眾號