石墨烯基超級電容器因其優異的儲能性能而備受關注。盡管有大量的研究工作試圖提高性能,但在商業應用中的器件優化仍然需要解決實驗闡明納米尺度界面分子特性的挑戰。為了解決這一問題,本研究利用無襯底石墨烯場效應晶體管(SF-GFETs)和氧化物負載石墨烯場效應晶體管(OS-GFETs)進行了一系列實驗,以闡明在不同表面電位狀態和離子濃度環境下石墨烯電解質界面的排列和相應的電容。對于SF-GFET,觀察到隨著離子濃度的增加,Dirac點的滯后從0.32 V變為−0.06 V。此外,它導致界面電容從4 F/g變化到2 F/g。對于OS-GFET,Dirac點的滯后保持為負(−0.15到−0.07 V)。此外,隨著離子濃度的增加,OS-GFET的相應電容減小(53–16 F/g)。這表明石墨烯-水界面有序取向的水結構逐漸被離子水合團簇所取代,導致了電容的差異。用一階Hill方程模擬Dirac點滯后值與離子濃度的關系,得到半占位值(KCl溶液K=1.0131×10
–4,MgCl2溶液K=6.6237×10
–5)。這也與界面內水層中兩種礦物離子水化的差異相一致。這項工作闡明了界面納米尺度排列對界面電容形成的影響以及對超級電容器發展的布局意義。

圖1. SF-GFET/OS-GFET裝置示意圖和測量圖。(a) SF-GFET設備俯視圖。(b) SF-GFET裝置橫截面A–A′方向視圖。(c) SF-GET裝置橫截面B–B′方向的視圖。(d) SF-GFET器件中石墨烯懸浮在微孔陣列上的SEM圖像。(e) SF-GFET器件中懸浮石墨烯(藍線)和OS-GFET器件中支撐石墨烯(黑線)的拉曼光譜。(f) OS-GFET設備的俯視圖。(g) OS-GFET設備橫截面C–C′方向視圖。

圖2. SF-GFET和OS-GFET在1μM KCl電解液中石墨烯輸運行為的比較。(a) I
d–V
g曲線(前向掃描SF_ F:SF-GFET;后向掃描SF_B:SF-GFET;前向掃描OS_F:OS-GFET;后向掃描OS_B:OS-GFET)。(b) SF-GFET和OS-GFET的滯后效應(ΔV)的實驗結果。(c) SF-GFET實驗裝置示意圖。(d) OS-GFET實驗裝置示意圖。

圖3. SF-GFET和OS-GFET在1、10和100μM電解液中石墨烯輸運行為的比較。(a) SF-GFET和OS-GFET在KCl水溶液中的滯后效應(ΔV)。(b) SF-GFET和OS-GFET在MgCl
2水溶液中的滯后效應(ΔV)。

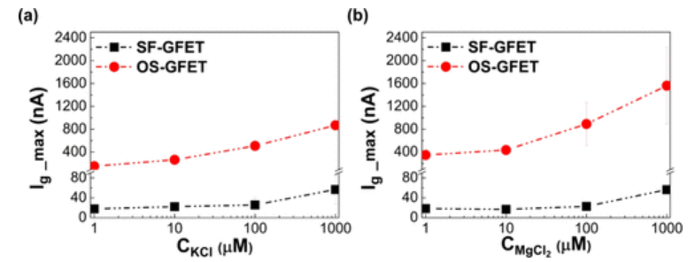
圖4. SF-GFET和OS-GFET在1、10和100μM電解液中石墨烯輸運行為的比較。(a) SF-GFET和OS-GFET在KCl水溶液中的最大柵電流。(b) SF-GFET和OS-GFET在MgCl
2水溶液中的最大柵電流。黑色矩形和紅色圓圈分別顯示SF-GFET和OS-GFET的最大柵電流值。

圖5.(a) SF-GFET在KCl和MgCl
2濃度為1μM、10μM、100μM和1 mM的電解液中的恒電壓漏電流。(b)氯化鉀水溶液和氯化鎂水溶液中表面離子的分布。為清楚起見,它僅以離子狀態表示。

圖6.不同柵極電壓和不同階躍率下GFET的漏電流行為(I
d)和柵電流行為(I
g):(a)SF-GFET與1μM KCl電解質溶液接觸的I
d;(b) OS-GFET與1 mM KCl電解質溶液接觸的I
d;(c) SF-GFET與1μM KCl電解質溶液接觸的I
g;(d) OS-GFET與1 mM KCl電解質溶液接觸的I
g;(e) SF-GFET和OS-GFET在1μM和1 mM KCl水溶液濃度下隨柵極電壓階躍增加的滯后效應。

圖7.SF-GFET與1μM KCl電解質溶液在不同柵極電壓下的界面演變示意圖。右邊的色條顯示第一個水層中懸掛的水分子“S”的布居程度。懸水(S)分布在深藍色時增強,而在淺藍色時減弱。為清楚起見,2D HBN和離子水合簇僅以離子狀態表示:(a)前向掃描路徑處的V
g=−0.8 V。(b) 前向掃描路徑處的V
g=0 V。(c) V
g=正向掃描路徑處的0.8 V。(d) V
g=反向掃描路徑處的0.8 V。(e) 在后向掃描路徑處,V
g=0 V。(f) V
g=−0.8 V,位于后向掃描路徑。

圖8.SF-GFET和OS-GFET在1μM和1 mM KCl環境中懸垂分子演化的比較。為清楚起見,2D HBNS和離子水合團簇僅以離子狀態表示:(a)SF-GFET和1μM KCl環境。(b) OS-GFET具有1μM KCl環境。(c) SF-GFET具有1 mM KCl環境。(d) OS-GFET具有1 mM KCl環境。

圖9.比較了SF-GFET和OS-GFET-GFET在1μM和1 mM KCl環境中的凈場效應電流(ΔI)和界面電容(C)。對于SF-GFET(疏水表面),凈場效應電流(ΔI)很小;相比之下,OS-GFET(親水表面)在柵電壓掃描過程中表現出峰值電流行為。
相關研究成果由的臺灣大學
Chih-Ting Lin課題組 2025年發表在ACS Applied Materials & Interfaces (鏈接:https://doi.org/10.1021/acsami.4c16362)上。原文:
Nanoscopic Supercapacitance Elucidations of the Graphene-Ionic Interface with Suspended/Supported Graphene in Different Ionic Solutions
轉自《石墨烯研究》公眾號