新興的二維 (2D) 材料與成熟的三維 (3D) 硅基半導體技術的非均相集成為未來高能效、功能豐富的納米電子器件的發展提供了一種有前途的方法。在這項研究中,我們設計了一種混合維結結構,其中 2D 單層(例如石墨烯、MoS
2 和 h-BN)夾在金屬(例如鈦、金和鈀)和 3D 半導體(例如,p-Si)之間,以研究僅在面外 (OoP) 方向上的電荷傳輸特性。比較評估了 2D 單層作為 OoP 金屬-半導體電荷注入勢壘或 OoP 半導體-金屬電荷收集勢壘的作用。與單層石墨烯相比,單層 MoS
2 和 h-BN 通過勢壘隧穿效應有效調節 OoP 金屬到半導體的電荷注入。它們的有效 OoP 電阻和電阻率是使用串聯電阻器模型提取的。有趣的是,當用作半導體-金屬電荷收集屏障時,當施加高 OoP 電壓(大于內置電壓)時,所有 2D 單層都變得電子“透明”(接近零電阻)。作為混合尺寸集成二極管,Ti/MoS
2/p-Si 和 Au/MoS
2/p-Si 配置表現出高 OoP 整流比 (5.4 × 10
4) 和電導 (1.3 × 10
5 S/m
2)。本研究的工作展示了 2D/3D 界面上的可調 OoP 電荷傳輸特性,表明了 2D/3D 異構集成的機會,即使是低于 1 nm 厚的 2D 單層,也可以增強現代硅基電子設備。

圖1. M2DS 異質結以 OoP 載流子為主,通過具有各種金屬接觸(即 Ti、Au 和 Pd)的 2D 單層(即 Gr、MoS2 和 h-BN)傳輸。(a) 示意圖、顯微鏡圖像(比例尺:300 μm)和沿 M2DS 垂直堆棧的能帶圖。這里 E
vac、E
F、E
C 和 E
V 分別表示真空的能級、費米能、導帶最小值和價帶最大值。還包括 2D 單層的拉曼光譜(波長:514 nm),其中顯示了每種 2D 材料的特征模式。(b) M2DS 結的能帶圖說明了 Gr 積分的能量匹配效應以及 MoS
2 和 h-BN 積分的勢壘隧穿效應。假設混合金屬接觸,因此不涉及 vdW 間隙。(c) Ti 誘導的雜化金屬與 2D 單層 MoS
2 的接觸示意圖,與 Au 和 Pd 誘導的 vdW 金屬接觸的比較。
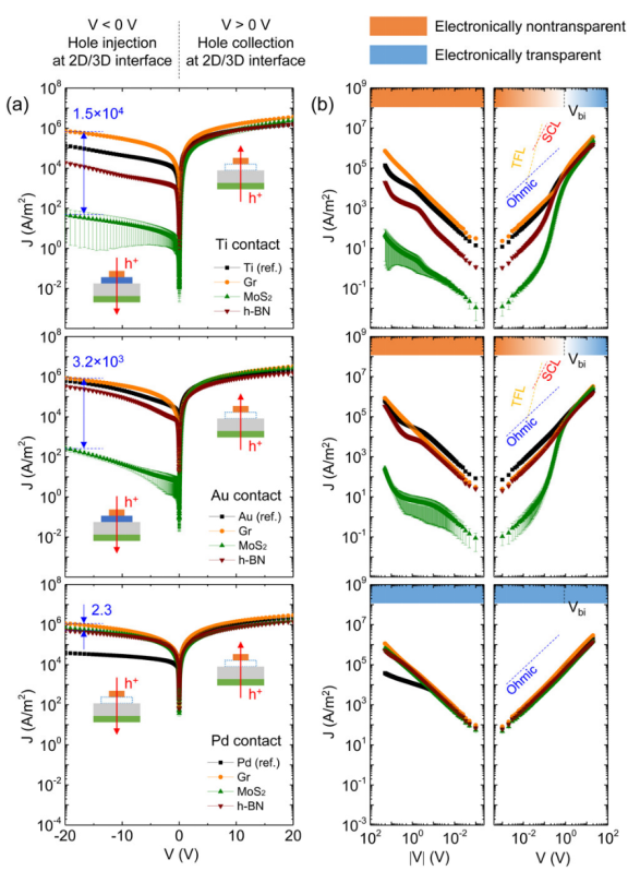
圖2. 比較M2DS結和參考MS結的不同配置的J–V特性。(a) Ti、Au和Pd接觸M2DS和MS組態的半對數J–V特性。在V<0 V時通過頂部M2DS和MS結注入空穴,在V>0 V時通過頂部電極收集空穴。藍色箭頭指示M2DS結中采用不同2D單分子膜的調諧范圍。(b) V<0 V(左)和V<0 V(右)時,Ti、Au和Pd觸點M2DS和MS配置的對數J–V特性。歐姆、TFL和SCL傳輸區由擬合斜率確定。統計分析基于每種類型的20個設備,誤差條表示設備之間的偏差。

圖3. 利用不同的金屬功函數和二維單分子膜(a–c)J對通過M2DS和MS結的空穴收集(V=20 V,頂部)和空穴注入(V=−20 V,底部)的OoP載流子傳輸進行操縱,并繪制為金屬功函數、二維單分子膜帶隙和EOT的函數。(b,c)中的虛線表示MS參考連接。(d,e)映射J作為金屬功函數和2D單層帶隙的函數,揭示了V=20 V時2D單層的電子透明度和V=−20 V時的電子不透明度。(f–h)映射各種金屬功函數、2D單層帶隙和EOT的整流比,以及它們作為施加V(±2 mV、±0.2 V和±20 V)的函數的演化。

圖4. M2DS結中2D單分子膜的有效OoP電阻和電阻率。(a) 在M2DS結中串聯電阻以提取R
2D的模型。(b,c)對于Ti和Au接觸M2DS配置,提取的R
2D作為V的函數。實線和點線分別表示正R
2D和負R
2D。(d,e)對于Ti-和Au-接觸M2DS配置,提取的ρOoP作為V的函數。(f,g)比較了提取的ρOoP與單層Gr、MoS
2和h-BN的ρ
IP的一般值,顯示了OoP電荷通過二維單層膜傳輸的寬調諧范圍。

圖5.M2DS結中的勢壘隧穿。(a,b)以MoS
2積分為例的Ti和Au接觸M2DS結和參考MS結的示意圖,以及平衡條件下的相應能帶圖。(c) 計算了MoS
2和h-BN集成層的量子隧穿幾率隨電子能量的變化。比較了雜化和vdW間隙金屬接觸。(d–g)ln(J/V2)與ln(1/V)特性說明了Ti和Au接觸M2DS配置的DT和熱離子發射載流子輸運。(d–g):ln(J/V2)與1/V特性的插圖說明了MoS
2和h-BN集成M2DS配置的FNT載流子傳輸。(h,i)使用溫度變量Arrhenius方法提取零V附近的νb。Ti和Au接觸MS參考結的數據也包含在(d–i)中進行比較。

圖6.比較Ti/MoS
2/p-Si和Au/MoS
2/p-Si M2DS結與其他MoS
2基結的基準測試。(a,b)與MS基準結相比,M2DS結中使用MoS
2抑制反向飽和電流并提高整流比。(c) Ti/MoS
2/p-Si和Au/MoS
2/p-Si M2DS結構的二極管行為。插圖:對應的理想因子作為V的函數。這里kB是玻爾茲曼常數,T是溫度。基于固定理想因子計算的J–V特性也用實線表示。(d) 與MoS
2基結相比,最大和最小J隨V的變化表現出操縱電荷輸運的持續能力。(e) G隨整流比的變化說明Ti/MoS
2/p-Si和Au/MoS
2/p-Si M2DS結在保持高G和整流比的情況下具有平衡的性能。此處引用的數據基于每個工作提供的電流-電壓關系的可用性,其不直接反映相應的擊穿電壓。
相關研究成果由微電子研究所
Tibor Grasser、布法羅大學Fei Yao和Huamin Li課題組2025年發表在
ACS Nano (鏈接:https://doi.org/10.1021/acsnano.4c15271)上。原文:Enormous Out-of-Plane Charge Rectification and Conductance through Two-Dimensional Monolayers
轉自《石墨烯研究》公眾號