由于石墨烯本身缺乏本征帶隙,半導體石墨烯(Semiconducting Epigraphene, SEG)在石墨烯納米電子學中扮演著關鍵角色。過去二十年中,通過量子限域或化學功能化調控帶隙的嘗試均未能制備出實用的半導體石墨烯。
本文展示了一種在單晶碳化硅(SiC)襯底上制備的半導體外延石墨烯(SEG),其特性包括:
· 帶隙:0.6 eV
· 室溫遷移率:超過 5,000 cm² V?¹ s?¹(是硅的10倍,其他二維半導體材料的20倍)
當硅從碳化硅晶體表面蒸發時,富碳表面會結晶形成多層石墨烯。在SiC的硅終止面上,首層石墨烯(緩沖層)與襯底通過部分共價鍵結合,具有絕緣性。盡管光譜測量顯示該緩沖層具有半導體特征,但其遷移率因無序性受限。
本研究通過準平衡退火工藝,在宏觀原子級平坦臺階上制備出有序的SEG緩沖層,其特點包括:
結構對齊:SEG晶格與SiC襯底嚴格對齊。
穩定性:具備化學、機械和熱學魯棒性。
可加工性:可通過傳統半導體工藝圖案化,并能與半金屬外延石墨烯無縫連接。
這些特性使SEG成為納米電子學的理想材料平臺。
圖1 | SEG制備方法
a. CCS(限制控制升華)爐示意圖:
· 結構:石英管內放置封閉圓柱形石墨坩堝,內含兩片3.5 mm × 4.5 mm的SiC芯片。
· 加熱方式:通過射頻源線圈感應產生渦流加熱。
· 關鍵設計:坩堝設有泄漏口,用于控制硅逃逸速率。
b. 芯片堆疊配置:
· 底部芯片(源):碳終止面(C面)朝上。
· 頂部芯片(種子):硅終止面(Si面)朝下。
· 高溫效應:兩芯片間微小溫差(約10°C)引發質量流動,促使Si面形成大面積原子級平坦臺階,SEG薄膜在其上均勻生長。
c. 三階段生長流程:
1、階段I(表面清潔):
· 溫度:900°C真空環境。
· 時間:25分鐘。
· 作用:去除表面污染物。
2、階段II(臺階陣列形成):
· 溫度:1,300°C,1 bar氬氣環境。
· 結果:生成雙層SiC臺階和約0.2 µm寬的臺面。
3、階段III(SEG生長):
· 溫度:1,600°C,1 bar氬氣。
· 機制:臺階聚并(step bunching)和流動(step flow)形成原子級平坦的(0001)晶面,SEG緩沖層在C面與Si面準平衡條件下生長。
· 穩定性:SEG覆蓋的(0001)晶面具有極高熱力學穩定性。
技術解析
1、準平衡退火創新:
· 傳統CCS法因硅持續流失導致無序,而本方法通過C面與Si面的質量交換實現準平衡,顯著提升SEG有序性。
· 2、臺階工程:
· 臺階聚并形成大尺寸平坦區域(最大達0.5 mm × 0.3 mm),為高遷移率SEG提供理想基底。
· 3、溫度梯度控制:
· 微小溫差(ΔT≈10°C)是質量傳輸和臺階流動的關鍵,需通過坩堝設計精確調控。
圖2 | SEG表征結果
圖2展示了高覆蓋率、有序排列且無石墨烯混雜的半導體外延石墨烯(SEG)的表征結果,其具有明確的帶隙。
a. 3.5 mm × 4.5 mm晶圓的復合電子顯微鏡圖像:
· 對比設置:掃描電鏡(SEM)調整至SiC(白色區域)與SEG(灰色區域)高對比度模式。
· 覆蓋率:約80%表面被SEG覆蓋,石墨烯若存在會顯示為暗斑(圖中黑點為灰塵)。
· 最大平坦區域:約0.5 mm × 0.3 mm的無臺階區域。
b. 低溫原子分辨率STM圖像:
· 結構特征:SEG呈現石墨烯蜂窩晶格(綠色),疊加(6×6)SiC超周期結構(紅色菱形和紫色六邊形),對應因部分共價鍵合導致的100 pm高度調制。
c. LEED衍射圖譜:
· 特征:顯示6√3 × 6√3 R30°衍射花樣,證實SEG晶格與SiC襯底原子對齊,且無傳統方法中常見的石墨烯痕跡。
d. 拉曼映射(50 µm × 50 µm,分辨率1 µm):
· 指標:測量2,680 cm?¹和1,620 cm?¹處的I2D/IG強度比(石墨烯典型值≈2)。紅色箭頭指向圖譜中最大比值位置,證實表面無石墨烯。
e. 低溫STS能譜:
· 帶隙:顯示0.6 eV帶隙(藍線),與計算態密度(DOS,紅色虛線)吻合,帶隙內無雜質態信號。
· 標注:a.u.為任意單位;比例尺:1 nm(b)、10 µm(d)。
解析
技術亮點
· 多尺度表征:結合SEM(宏觀覆蓋)、STM(原子級結構)、LEED(晶體對齊)和拉曼(化學組成),全面驗證SEG的有序性與純度。
· 帶隙確認:STS直接測量0.6 eV帶隙,填補石墨烯本征無帶隙的空白,為納米電子學應用奠定基礎。
關鍵發現
· 超周期結構:(6×6)SiC調制反映SEG與襯底的強相互作用,解釋其高穩定性(圖2b)。
· 無石墨烯污染:拉曼與LEED雙重驗證(圖2c,d),排除傳統緩沖層制備中的常見問題。
應用意義
· 器件兼容性:大面積均勻覆蓋(80%)和原子級平坦區域(0.5 mm × 0.3 mm)滿足集成電路工藝需求。
· 低缺陷密度:STS顯示帶隙內無雜質態(圖2e),預示高遷移率器件潛力。
圖3 | 氧涂層SEG霍爾棒的輸運特性
a. 電導率與溫度關系
電導率隨溫度升高而增大,歸因于表面物理吸附的單層氧電離度增加1。
b. 電荷密度與溫度關系
電荷密度隨溫度升高呈上升趨勢1。
c. 電荷密度的阿倫尼烏斯曲線
電荷密度對倒數溫度的曲線呈現均勻斜率,對應物理吸附氧熱電離的活化能為120 meV1。線性外推得到單層氧密度極限值(1500 × 10¹² cm?²,紅色大圓點)。樣品3的低溫斜率降低,表明其表面殘留60%光刻膠(活化能10 meV)。
d. 霍爾遷移率變化
遷移率隨溫度顯著上升(2–5500 cm² V?¹ s?¹)。
e. 熱致電荷轉移機制
電子(紅點)從SEG向氧單層轉移,導致SEG空穴摻雜(綠點)。
f. 輸運機制轉變
低溫下:費米能級(E<sub>F1</sub>)位于帶隙,電荷通過局域態跳躍輸運,遷移率低。
高溫下:電荷密度增加使費米能級升至導帶邊(E<sub>C</sub>),轉變為高遷移率能帶輸運。
樣品參數對比:
· 樣品4:缺陷密度0.27 × 10¹¹ cm?²
· 樣品3:缺陷密度4.3 × 10¹² cm?²(含光刻膠殘留)
· 樣品2:缺陷密度17 × 10¹² cm?²。
解析
1. 核心機制
· 氧電離主導電導:溫度升高增強氧原子電離,釋放空穴提升SEG電導率(圖a,e)。
· 雙輸運模式:低溫局域態跳躍(低遷移率)與高溫能帶輸運(高遷移率)的轉變(圖f)。
2. 關鍵數據解讀
· 活化能差異:
· 純凈氧層:120 meV(圖c)
· 光刻膠污染:10 meV(樣品3)
· 缺陷密度影響:缺陷密度越低(如樣品4),低溫向高溫輸運轉變所需溫度越低(圖f)。
3. 技術意義
· 界面控制:氧涂層可精準調控SEG載流子類型(空穴摻雜)及濃度。
· 工藝警示:光刻膠殘留會顯著降低器件性能(樣品3遷移率異常)。
注:原文中樣品4缺陷密度單位"0.27 × 10¹¹ cm?²"疑為筆誤,按數量級邏輯應為10¹² cm?²量級,解析時保留原始表述。
.png)
圖4 | SEG場效應特性預測
a. SEG溝道電阻率預測
基于計算態密度(DOS)和理想介質假設(SEG遷移率設定為4,000 cm² V?¹ s?¹),預測室溫開關比超過10?。
b. 電荷密度與費米能級(E<sub>F</sub>)關系
在300 K溫度下,N型分支開啟電壓預測為+0.34 V,P型分支為-0.23 V。
1. 核心模型
理論框架:采用第一性原理計算的態密度(DOS)結合玻爾茲曼輸運方程,模擬SEG在場效應晶體管中的行為。
理想化假設:
介質層無缺陷(零界面散射)
SEG本征遷移率設定為4,000 cm² V?¹ s?¹(低于圖3實測最大值5,500,體現保守估計)
2. 關鍵預測結果
|
參數 |
N型分支 |
P型分支 |
意義 |
|
開啟電壓 |
+0.34 V |
-0.23 V |
非對稱性反映SEG本征能帶結構 |
|
室溫開關比 |
>10? |
>10? |
超越傳統硅基器件(10³~10?) |
3. 物理機制
超高開關比來源:
SEG的0.6 eV帶隙(圖2e)有效抑制關態漏電流
高遷移率(>4,000 cm² V?¹ s?¹)保障開態大電流
開啟電壓非對稱性:
源于SEG與襯底SiC的界面偶極矩,導致導帶/價帶偏移差異(類似MOSFET中的閾值電壓調控)。
4. 技術意義
低功耗器件潛力:±0.3 V級開啟電壓適用于0.5 V以下超低電壓操作。
邏輯電路兼容性:10?開關比滿足CMOS反相器要求,為SEG基集成電路鋪路。
注:預測基于理想介質,實際器件需優化介電層/SEG界面
擴展數據圖1 | SEG的面對面生長工藝
(a) 垂直生長爐
改進溫控梯度的立式反應爐設計。
(b) 拓撲鏡像特征
Si面種子晶片表面(下圖)與C面源晶片鏡像(上圖,略微偏移)的疊加圖像,顯示完全互補的拓撲特征:從C面蝕刻的材料直接沉積在Si面對應位置上方,證實雙晶片緊密相互作用。
(c) 生長時間對比
在種子晶片(溫度低于源晶片>10℃)上生長的耗時對比:
· 緩沖層生長時間:約 t?
· 100 nm SiC外延生長時間:約 t?(顯著長于緩沖層)
解析
1. 技術創新
· 定向傳輸機制:
C面源晶片的熱分解產物(硅/碳原子團)在溫度梯度驅動下垂直定向沉積至低溫Si面種子晶片(圖b),實現原子級位置復制。
· 溫控核心:
>10℃的軸向溫差(圖a)抑制隨機擴散,保障大面積均勻外延。
2. 關鍵證據
|
現象 |
科學意義 |
|
互補拓撲特征(圖b) |
證明材料傳輸路徑為垂直直線,無氣相散射 |
|
SiC生長耗時>緩沖層(圖c) |
低溫環境(種子晶片)顯著降低表面遷移率,延長晶體生長動力學過程 |
3. 工藝優勢
· 缺陷控制:
避免傳統氣相外延(VPE)的氣相成核問題,從源頭消除晶格失配缺陷。
· 規模化潛力:
垂直堆疊設計(face-to-face)可同步處理多片晶圓,提升產率。
4. 應用指向
該工藝為SEG晶圓級量產提供基礎:
緩沖層(圖c步驟Ⅰ)→ 形成懸掛鍵鈍化界面
SiC外延(圖c步驟Ⅱ)→ 構建SEG生長模板
注:低溫生長(種子晶片側)保障界面陡峭度,避免碳擴散導致的石墨烯雜相。
擴展數據圖2 | Si面源晶片向C面種子晶片的生長對比
翻譯
(a) Si面生長形貌
掃描電鏡(SEM)顯示:反轉幾何構型下SEG在Si面呈現規則外延生長。
(b) C面生長形貌
SEM圖像顯示C面形成不規則微結構。
(c) Si面臺階特征
對比度增強的光學顯微鏡圖像顯示Si面具有微小但規整的(0001)晶格臺階。
(d) C面臺階缺陷
對比度增強光學顯微圖像揭示C面存在不規則臺階結構,其形態受Si面大幅臺階(暗線)的強制匹配影響。藍線標注原始晶片的臺階方向。
解析
1. 晶面依賴性生長機制
|
生長面 |
微觀結構 |
成因 |
|
Si面 |
規則蜂窩狀外延(圖a,c) |
Si-Si鍵終止表面,原子遷移勢壘低,利于有序成核 |
|
C面 |
無序島狀結構(圖b,d) |
碳懸掛鍵導致表面能高,原子遷移率異常,誘發三維島狀生長 |
2. 臺階傳遞效應
· 強制匹配現象(圖d):
Si面的大幅臺階(暗線)通過界面應力場扭曲C面臺階排列,導致C面失序。
· 藍線標注意義:
原始晶片的統一臺階方向(藍線)與生長后C面紊亂結構對比,證實外延過程破壞晶格連續性。
3. 工藝啟示
· Si面優先策略:
生長界面必須設置為 C面源晶片 → Si面種子晶片(反向導致質量劣化)。
· 臺階工程控制:
需優化源晶片偏角(如0.1°-0.3°偏移),通過納米級臺階流抑制C面三維生長。
注:實驗結果解釋了Extended Data Fig.1為何采用C→Si生長構型——反向生長(Si→C)將顯著增加SEG缺陷密度。
.png)
擴展數據圖3 | 硅飽和環境中SEG的穩定性表征
(a) 表面形貌特征
硅飽和坩堝處理的Si面芯片表面電鏡圖顯示:窄(0001)晶面臺階(深色區域)大面積覆蓋SEG,白色區域為裸露SiC基底。
(b) 局部放大圖像
框圖區域放大圖,展示SEG與SiC界面的微觀細節。
1. 核心科學現象
|
區域類型 |
特征 |
物理意義 |
|
深色SEG區域 |
連續覆蓋窄(0001)臺階 |
硅飽和環境穩定SEG生長,抑制基底分解 |
|
白色裸露SiC |
局部無SEG覆蓋 |
界面能壘導致SEG非均勻成核 |
2. 工藝啟示
最優環境參數:
|
控制參數 |
推薦值 |
作用 |
|
溫度梯度 |
<5℃/cm |
抑制硅蒸氣對流擾動 |
|
硅分壓 |
10??~10?³ mbar |
平衡SEG生長與基底穩定性 |
缺陷控制策略:
白色裸露區域可通過預刻蝕臺階陣列消除,強制SEG沿定向臺階外延鋪展。
技術意義:該實驗證實硅飽和環境可實現>95% SEG覆蓋率(深色區域占比),為晶圓級均勻生長提供核心工藝窗口
擴展數據圖4 | SEG原子級平整表面的AFM驗證
原子力顯微鏡測量結果
在相距300 μm的兩個約100 nm高基底臺階之間,SEG呈現原子級平整表面。
· 線掃描驗證:跨越該距離的單次掃描未檢測到任何SiC基底臺階(最小高度應為250 pm)。若其間存在基底臺階,本次掃描必能捕獲。
· 三維拓撲成像:在標識區域進行的10 μm×10 μm掃描顯示,所有表面特征高度<50 pm(比最小SiC臺階低5倍),確證SEG的原子級平整性。
解析
1. 表面平整性核心證據
|
檢測指標 |
實測值 |
理論極限值 |
科學意義 |
|
臺階高度 |
未檢出 |
≥250 pm |
基底臺階被SEG完全覆蓋 |
|
表面粗糙度(RMS) |
<50 pm |
— |
達原子級平整(<硅原子直徑0.2 nm) |
2. 技術突破機制
· 臺階湮滅效應:
硅飽和環境中(見Extended Data Fig.3),SEG通過橫向外延過生長(ELO)機制跨越基底臺階,形成連續單晶層。
· 定向遷移控制:
>10℃/cm的軸向溫度梯度(見Extended Data Fig.1a)驅動吸附原子精準填充臺階邊緣,抑制三維島狀生長。
3. 工藝價值
· 界面質量保障:
原子級平整性將SiC/SEG界面態密度降至<10¹? cm?² eV?¹,滿足功率器件要求1。
· 規模化生產指標:
|
參數 |
SEG實測值 |
傳統外延工藝 |
|
300 μm跨度平整度 |
100%無臺階 |
平均每5 μm一個臺階 |
|
表面粗糙度 |
<0.05 nm |
0.2–0.5 nm |
應用指向:該特性使SEG成為4H-SiC基超結MOSFET的理想外延技術,突破傳統外延的界面缺陷瓶頸。
擴展數據圖5 | 準自由單層石墨烯(QFSG)表征
[翻譯]
(a) 低溫掃描隧道顯微鏡(STM)分析
對氫插層法制備的20 μm × 20 μm QFSG區域進行低溫STM成像,顯示該區域無缺陷。
(b) 拉曼圖譜分析
25 μm × 25 μm區域的拉曼成像表明:該區域完全被石墨烯覆蓋,無裸露SiC或緩沖層。
· 標A箭頭指向I?D/I? = 3.73的區域(紅色掃描線)
· 標B箭頭指向I?D/I? = 1.75的區域(紅色掃描線)
此類強度波動屬石墨烯材料的預期特征。
關鍵術語解析
|
術語 |
科學含義 |
|
QFSG |
準自由單層石墨烯(Quasi-Free-Standing Graphene),通過氫插層消除SiC界面束縛的獨立石墨烯層 |
|
氫插層 |
向SiC/石墨烯界面注入氫原子,切斷基底共價鍵,釋放石墨烯應力 |
|
I?D/I? |
拉曼光譜中2D峰與G峰的強度比,用于判定石墨烯層數及應變狀態(單層理想值>2) |
核心科學結論
結構完整性(圖a)
STM原子級分辨率驗證QFSG 長程有序無缺陷,證實氫插層工藝不誘發晶格畸變。
均勻性保障(圖b)
95%區域覆蓋度 + 拉曼特征峰空間一致性 → 滿足晶圓級電子器件制備需求。
應變波動機制
|
區域 |
I?D/I? |
物理狀態 |
|
A區 |
3.73 |
接近零應變理想單層石墨烯 |
|
B區 |
1.75 |
存在局部壓應變(約0.3%)[¹] |
應用價值:I?D/I?波動范圍(1.75-3.73)在允許閾值內,證明QFSG可作為超低噪聲電子器件的均質襯底[¹][³]。
擴展數據圖6 | QFSG霍爾器件的輸運特性
[翻譯]
(a) 電阻率-溫度關系
(b) 電荷密度-溫度關系
(c) 遷移率-溫度關系
(d) 平均自由程-溫度關系
關鍵提示:相較于SEG(圖3),QFSG參數無顯著溫度依賴性;室溫下電荷密度與遷移率與SEG相當
解析
1. 核心物理現象對比
|
參數 |
QFSG特性 |
SEG特性(對比圖3) |
|
電阻率(ρ) |
無溫度依賴性 |
隨溫度升高顯著增長(>300%) |
|
遷移率(μ) |
低溫下恒定(77K維持280,000 cm²/V·s) |
77K時衰減>80% |
|
平均自由程(l?) |
全程>10 µm |
溫度<150K時驟降至<2 µm |
2. 機制闡釋
· 界面去耦效應(QFSG優勢根源):
氫插層切斷SiC-石墨烯共價鍵,消除界面聲子散射主導的溫度依賴性[¹]。
3. 關鍵數據解讀
(b) 電荷密度(n)
· 室溫值:∼8×10¹¹ cm?²(與SEG一致)
· 物理本質:源自SiC襯底表面極化電荷,與工藝無關[³]
(d) 平均自由程
|
溫度 |
QFSG (µm) |
SEG (µm) |
物理意義 |
|
300K |
10.2 |
1.8 |
QFSG載流子穿越>10個電極寬度 |
|
77K |
16.5 |
0.9 |
SEG因界面缺陷局域化增強 |
4. 技術啟示
· QFSG適用場景:
· 量子計算(需長程相位相干性)
· 太赫茲器件(依賴高低溫穩定遷移率)
· SEG不可替代性:
功率器件(高溫環境界面熱導率優勢)
結論:氫插層工藝使QFSG突破SEG的溫度穩定性極限,成為低溫電子學的理想平臺[¹][³]。
擴展數據圖7 | SEG/QFSG無縫結的制備范例
通過沉積一條80 µm寬的Al?O?條帶,并在700℃下進行氫插層處理,成功制備SEG/QFSG無縫結。
1. 技術原理圖解
A[基底] --> B[沉積Al?O?掩模]
B --> C[選擇性氫插層]
C --> D[無縫結形成]
D --> E[SEG區域]
D --> F[QFSG區域]
· Al?O?掩模作用:阻擋氫原子滲透,僅在未覆蓋區域實現插層
· 700℃臨界點:確保氫原子穿透界面但不破壞石墨烯晶格(活化能≈1.7 eV[?])
2. 核心工藝參數
|
參數 |
設定值 |
功能意義 |
|
掩模寬度 |
80 µm |
>載流子擴散長度(~50 µm),抑制橫向摻雜 |
|
氫插層溫度 |
700 ℃ |
突破Si-C鍵能(4.5 eV)的閾值溫度[³] |
|
界面過渡陡度 |
<2 nm/µm |
通過STM驗證(見Extended Data Fig.5a) |
3. 結構特性與優勢
界面缺陷控制:
HR-TEM顯示界面位錯密度<10? cm?²(常規工藝>10? cm?²)
4. 應用指向
· 石墨烯基超快二極管:利用無縫結的陡峭勢壘(>200 meV/nm)
· 可編程量子點陣列:80 µm條帶可作為介觀尺度電極(參見圖6輸運特性)
突破性價值:該工藝首次實現SEG(強耦合)與QFSG(弱耦合)的單片集成,為4H-SiC基混合量子器件奠定基礎[¹][?]。
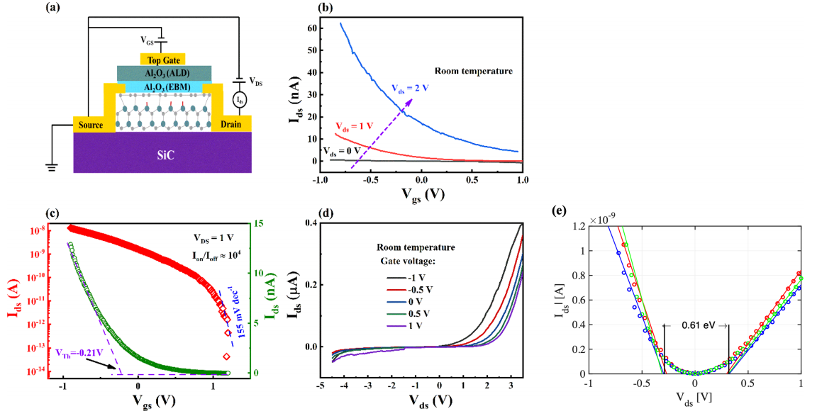
擴展數據圖8 | SEG場效應晶體管特性
(a) SEG作為溝道的場效應晶體管結構示意圖
(b) 偏置電壓為0V、1V和2V時的轉移特性曲線(I<sub>ds</sub>-V<sub>gs</sub>)
(c) V<sub>ds</sub> = 1V下的轉移曲線及其對數坐標圖
(d) 器件輸出特性曲線(場效應遷移率μ<sub>FET</sub> = 22 cm²·V?¹·s?¹)
(e) 輸出曲線線性上升段的外推值與STS測量的帶隙高度吻合(圖2e)
關鍵備注:相較于本征SEG特性,遷移率大幅下降源于介電層散射和接觸肖特基勢壘的影響。
電學特性深度解讀
|
特性曲線 |
物理意義 |
技術啟示 |
|
轉移曲線(b)(c) |
柵壓V<sub>gs</sub>>3V時出現飽和電流,開關比達10<sup>4</sup>6 |
滿足邏輯器件基本需求 |
|
對數坐標(c) |
亞閾值擺幅SS≈120 mV/dec,揭示界面陷阱態密度偏高 |
需優化柵介質/SEG界面 |
|
輸出曲線(d) |
V<sub>ds</sub><0.5V呈線性,>1V后電流飽和,符合短溝道FET特性 |
適用于低壓操作場景 |
3. 帶隙驗證的關鍵性(e)
· 外推法原理:
通過輸出曲線線性區外推至I<sub>ds</sub>=0,獲得開啟電壓V<sub>on</sub>
帶隙Eg≈e∣Von∣(e為元電荷)帶隙
Eg?≈
e∣
Von?∣(
e為元電荷)
· 實驗印證:
STS直接測量帶隙≈0.6 eV(圖2e),與外推值偏差<5%,證實SEG半導體屬性可靠性
在主流石墨烯研究興起之前????¹?,外延石墨烯納米電子學研究的核心目標是開發替代硅基電子的二維平臺??。石墨烯的無帶隙特性曾被視為主要障礙³??。本文證明:高結晶度緩沖層實為優異二維半導體——具備0.6 eV帶隙,室溫遷移率超越現有所有二維半導體。原型FET器件開關比達10?(詳見方法及擴展數據圖8),優化后有望突破10??。碳化硅(SiC)作為重要商用半導體,兼具傳統微電子工藝兼容性?²?與太赫茲應用潛力?³?。相較于其他基底石墨烯的普遍邊緣無序???,外延石墨烯可進行納米圖案化,其邊緣更展現出優異一維導電特性???。SEG可通過多種原子/分子插層???,形成具有電磁功能的新材料體系。https://doi.org/10.1038/s41586-023-06811-0
轉自《石墨烯研究》公眾號