超級電容多孔碳是一種新型高比表面積活性炭,孔徑約為2.0-2.2之間,主要用于超級電容器(也稱雙電層電容器、電化學電容器),具有電化學性能好,容量高等特點。 超級電容器是介于電池與普通電解電容器之間的一種新型儲能器件。它的能量密度比電解電容器高2到3個數量級,功率密度比電池高10至100倍,可以在10秒至10分鐘之內完全充滿電,充放電效率超過90%。此外,它的充放電循環次數超過10萬次、電化學穩定性好、環境友好和操作溫度范圍寬(-30~70℃),可以廣泛地用于節能、環保、交通和電子等領域。近年將會在電動車輛、混合動力車輛、電動工具、電動玩具、鐵路系統、電力系統等廣泛的領域得到應用。
JCAC-1800
|
比表面積 (m2/g) |
1800 |
|
密度 (g/cc) |
0.37-4.0 |
|
粒度 (μm), D50 |
5 or 8 |
|
pH值 |
6.5-7.5 |
|
灰份 (%) |
<0.1 |
|
Cl- content (ppm) |
<20 |
|
有機電容量 (F/g)(Note 1) |
40 |
|
有機電容量 (F/cc) (Note 2) |
30 |
|
無機電容量 (F/g)(Note 3) |
130 |
|
無機電容量 (F/cc) (Note 2) |
120 |
JCAC-2000-2
|
比表面積 (m2/g) |
2000 |
|
密度 (g/cc) |
0.35-4.0 |
|
粒度 (μm), D50 |
10 |
|
pH值 |
6.5-7.5 |
|
灰份 (%) |
<0.5 |
|
Cl- content (ppm) |
<20 |
|
有機電容量 (F/g)(Note 1) |
200 |
|
無機電容量 (F/cc) (Note 2) |
30 |
JCAC-2000-9
|
比表面積 (m2/g) |
2000+200 |
|
密度 (g/l) |
300±15 |
|
粒度 (μm) |
74 |
|
孔容(cm3/g) |
1.75±15 |
|
灰份 (%) |
4-5 |
|
水容量(%) |
1120±30 |
|
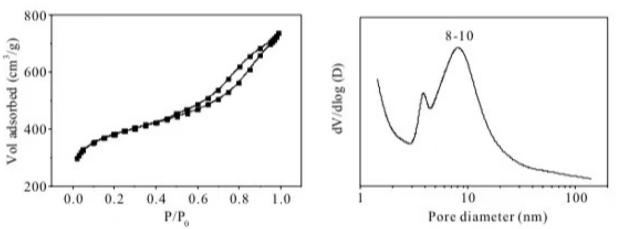
孔徑(nm) |
8-10 |

氮氣物理吸附等溫線及孔徑分布圖

XRD和拉曼測試圖

掃描/透射電鏡-微觀結構
JCAC-1800價格:4元/克,1200元/公斤。
JCAC-2000價格:4元/克,1200元/公斤。
(公斤級、噸級優惠)。